|Vub| from exclusive semileptonic B decays for End of 2023 Report

The B0 -> pi- l+nu branching fraction and |Vub| averages are based on the four most precise measurements by BABAR and Belle and include both B0 and B+ decays (references are given in the table below):

BABAR untagged B0+B+ (6 q2 bins)
BABAR untagged B0+B+ (12 q2 bins)
Belle untagged B0
Belle hadronic tag B0 and B+

Please note that the untagged measurements by BABAR are based on a combined analysis of B0 -> pi- l+ nu and B+ -> pi0 l+nu decays, assuming isospin symmetry.

The averages assume equality of the semileptonic decay widths for these isospin-conjugate states. The branching fraction average is quoted for B0 decays.

Branching fractions of B0 -> pi- l+ nu

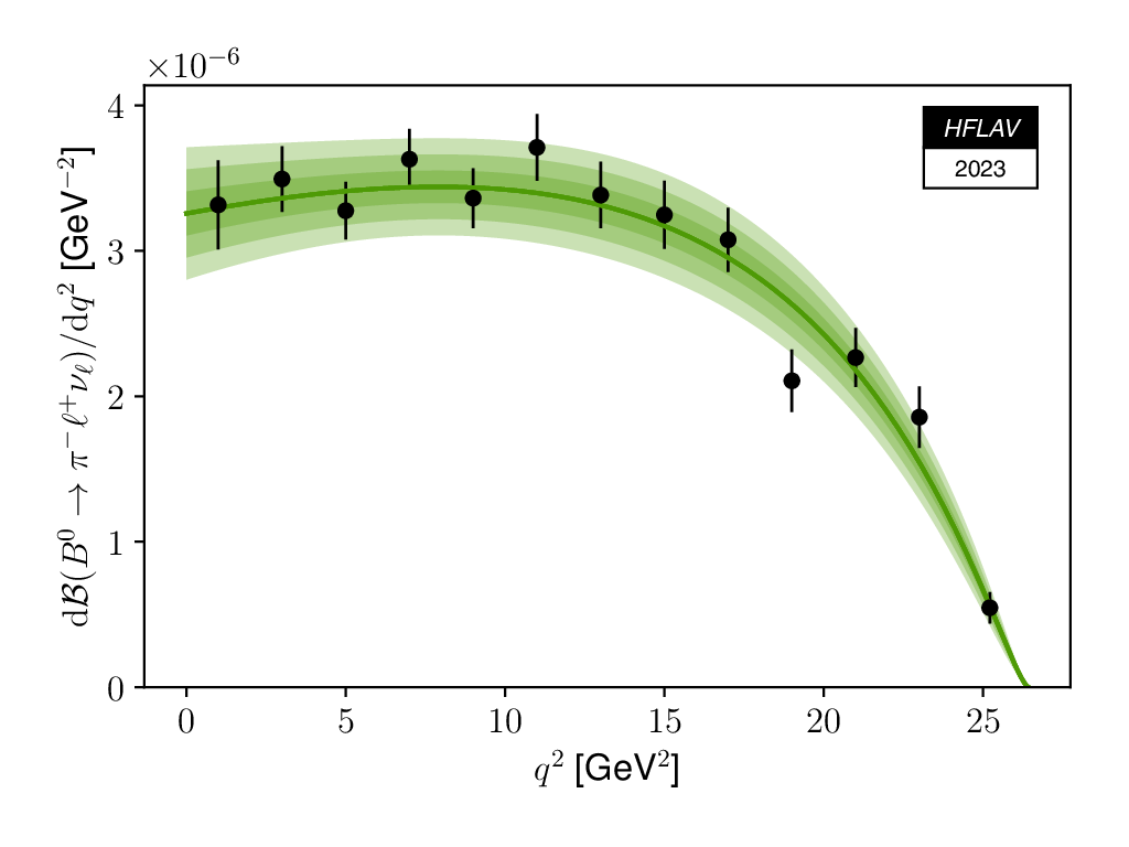
In the first step of the averaging prodcedure, an average q2 spectrum is determined from the measurements listed above. A plot of the average q2 spectrum can be found here: pdf
The p-value for this average is 0.40.
The total branching fraction is then calculated from the sum of the partial branching fractions in the average q2 spectrum, taking the correlations between q2 bins into account:

Experiment / Mode BF [10-4]
Average: B0 -> pi- l+ nu 1.50 +/- 0.02 +/- 0.05

Exclusive |Vub| determination

|Vub| is determined from a combined fit of a B -> pi form factor parameterization to theory predictions and the average q2 spectrum in data.

The theory input included in the fit is the results from the FLAG lattice average (S. Aoki et al., [arXiv:2411.04268 [hep-ph]])

For the form factor parameterization, we use the BCL parameterization (Bourrely, Caprini and Lellouch, Phys. Rev. D79, 013008 (2009) [arXiv:0807.2722v3 [hep-ph]]) with 3+1 parameters, i.e. 3 parameters for the coefficients b0,b1,b2 in the BCL expansion and one normalization parameter for |Vub|.

The results of the combined fit are:

|Vub| = (3.75 +- 0.06 +- 0.19) × 10-3
b+0 = 0.424 +- 0.0121
b+1 = -0.484 +- 0.043
b+2 = -0.658 +- 0.168
b00 = 0.561 +- 0.024
b01 = -1.393 +- 0.070

The quoted uncertainties on |Vub| are experimental and theoretial, those on the BCL parameters are the combined experimental and theoretical errors obtained from the fit. The probability of the fit is 0.37.

A plot of the fit result is available here: pdf