LHCb Collaboration Phys. Lett. B726, 646 (2013)
Citation check: Okay.
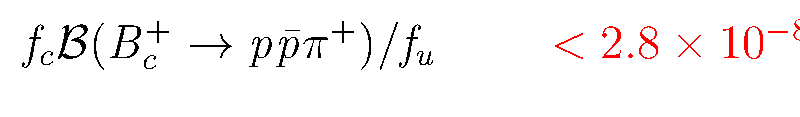
LHCb Collaboration arXiv:1607.06134
Yes, this one got published:
arXiv:1607.06134 .... Phys.Rev. D94 (2016) no.9, 091102
LHCb Collaboration, (R. Aaij etal), plb{759}. 313 (2016)
