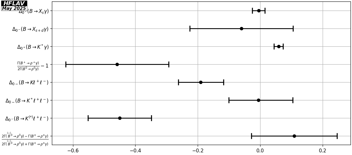
Isospin Asymmetry
Isospin asymmetry in $B$ mesons radiative and FCNC decays with leptons. In some of the $B$-factory results it is assumed that $\mathcal{B}(\Upsilon(4S) \to B^+ B^-) = \mathcal{B}(\Upsilon(4S) \to B^0 \overline{B}{}^0)$, and in others a measured value of the ratio of branching fractions is used. See original papers for details. The averages quoted here are computed naively and should be treated with caution
