$B$ admixture semileptonic and radiative modes
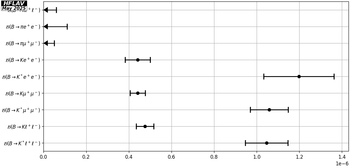
Branching fractions of radiative, FCNC decays with leptons and LFV/LNV decays of $B^{\pm}/B^0$ admixture (part 1)

Branching fractions of radiative, FCNC decays with leptons and LFV/LNV decays of $B^{\pm}/B^0$ admixture (part 2)

Branching fractions of radiative, FCNC decays with leptons and LFV/LNV decays of $B^{\pm}/B^0$ admixture (part 3)
