$B^{0}$ decays
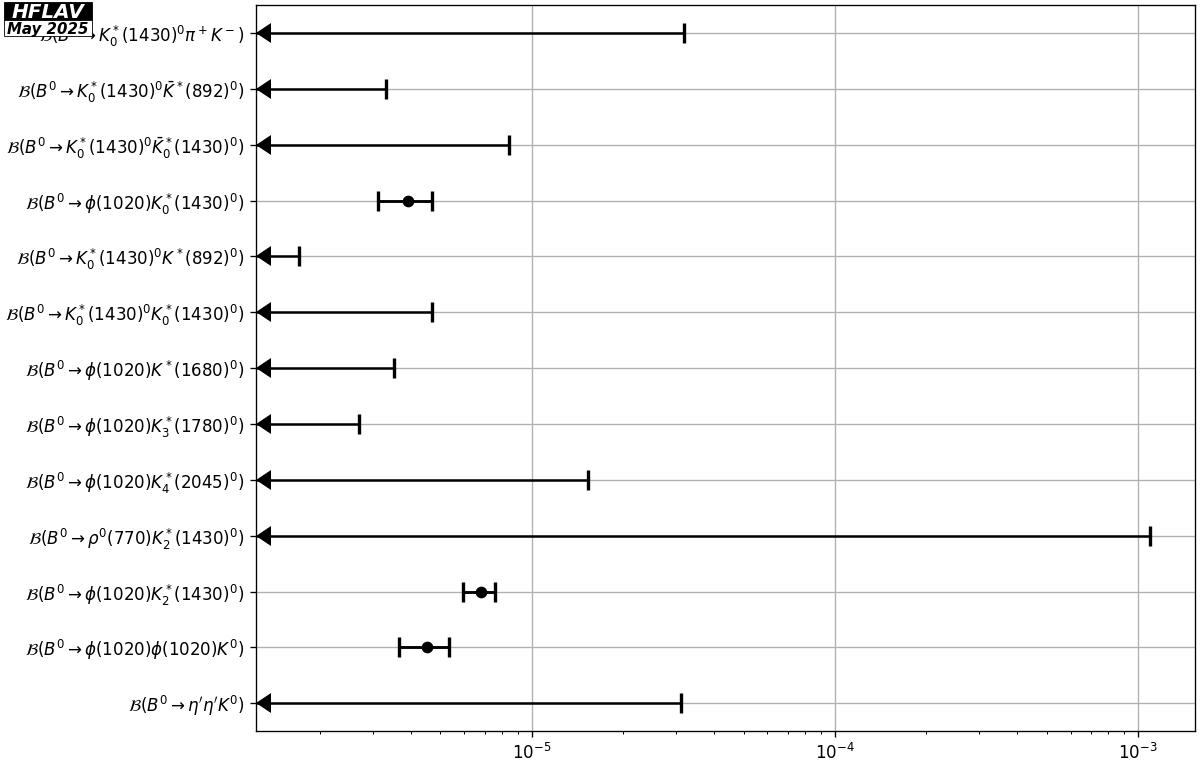
Branching fractions of charmless mesonic $B^0$ decays with strange mesons (part 1)

Branching fractions of charmless mesonic $B^0$ decays with strange mesons (part 2)

Branching fractions of charmless mesonic $B^0$ decays with strange mesons (part 3)

Branching fractions of charmless mesonic $B^0$ decays with strange mesons (part 4)

Branching fractions of charmless mesonic $B^0$ decays with strange mesons (part 5)

Branching fractions of charmless mesonic $B^0$ decays with strange mesons (part 6)

Branching fractions of charmless mesonic $B^0$ decays with strange mesons (part 7)

Branching fractions of charmless mesonic $B^0$ decays with strange mesons (part 8)

Branching fractions of charmless mesonic $B^0$ decays with strange mesons (part 9)

Branching fractions of charmless mesonic $B^0$ decays with strange mesons (part 10)

Branching fractions of charmless mesonic $B^0$ decays with strange mesons (part 11)

Branching fractions of charmless mesonic $B^0$ decays without strange mesons (part 1)

Branching fractions of charmless mesonic $B^0$ decays without strange mesons (part 2)

Branching fractions of charmless mesonic $B^0$ decays without strange mesons (part 3)

Branching fractions of charmless mesonic $B^0$ decays without strange mesons (part 4)

Relative branching fractions of mesonic $B^0$ decays
