Baryonic $B^0$ decays

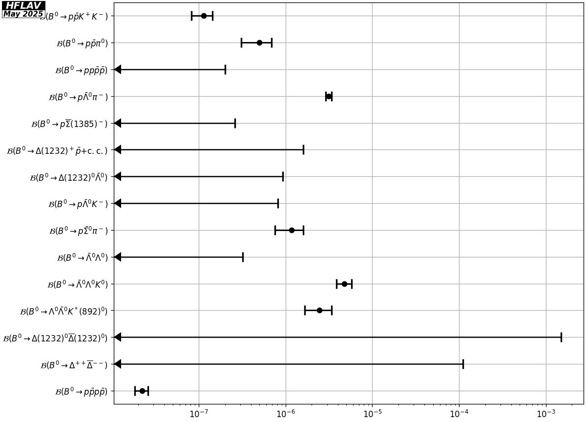
Branching fractions of charmless baryonic $B^0$ decays (part 1)


Branching fractions of charmless baryonic $B^0$ decays (part 2)