Compilation of $\Xi_{b}$ Branching Fractions
Branching fractions of charmless $\Xi^{0}_{b}$ decays

Relative branching fractions of $\Xi_{b}^0$ decays

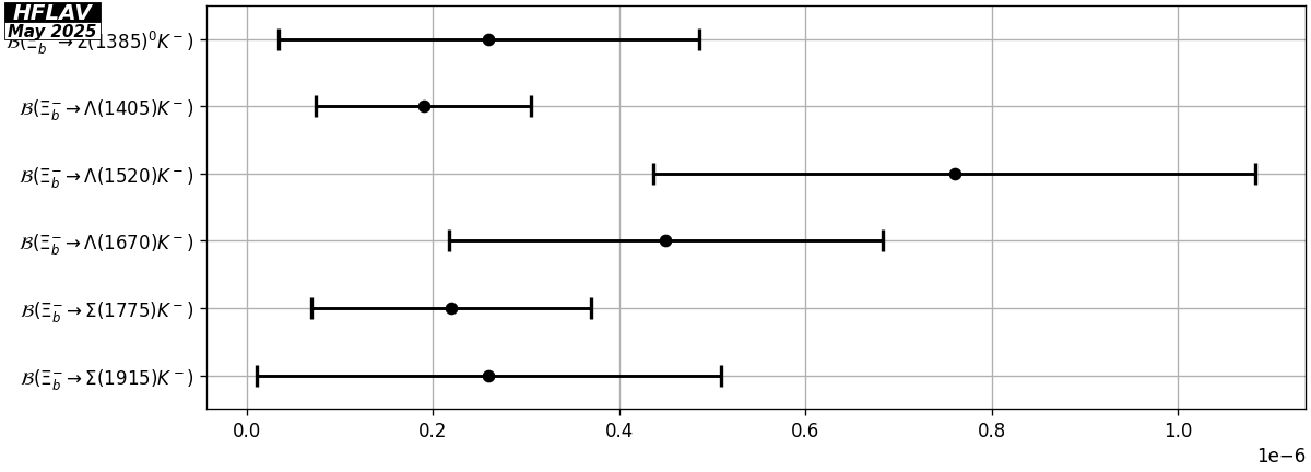
Branching fractions of charmless $\Xi^{-}_{b}$ decays

Relative branching fractions of $\Xi_{b}^-$ decays
