Compilation of $\Lambda_b^0$ branching fractions
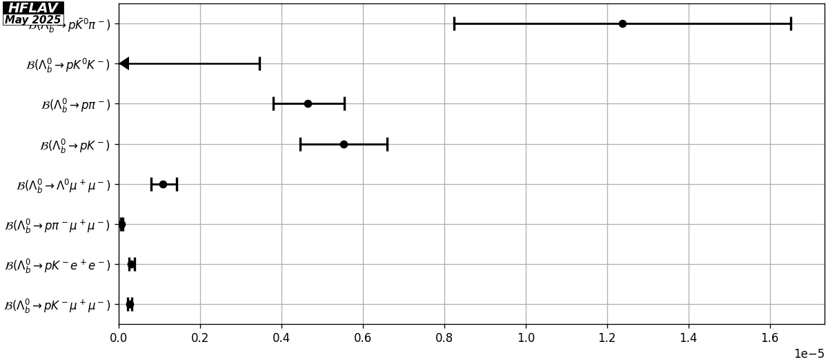
Branching fractions of charmless $\Lambda_b^0$ decays (part 1)

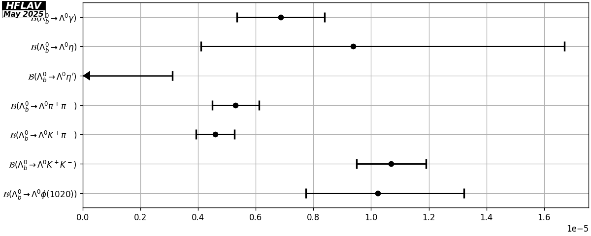
Branching fractions of charmless $\Lambda_b^0$ decays (part 2)

Branching fractions of charmless $\Lambda_b^0$ decays (part 3)

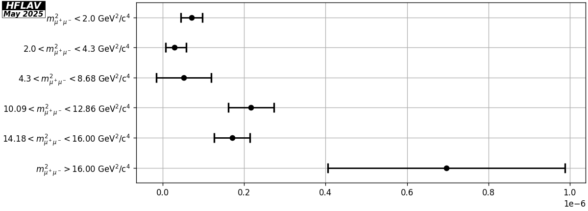
Partial branching fractions of $\Lambda_b^0 \to \Lambda \mu^+ \mu^-$ decays in intervals of $m^2_{\mu^+\mu^-}$

Relative branching fractions of $\Lambda_b^0$ decays (part 1)

Relative branching fractions of $\Lambda_b^0$ decays (part 2)
