$B^+$ decays

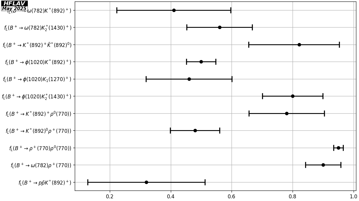
Longitudinal polarization fraction, $f_L$, in $B^+$ decays