Charmless $B^0_s$ decays
Branching fractions of charmless $B^0_s$ decays (part 1)

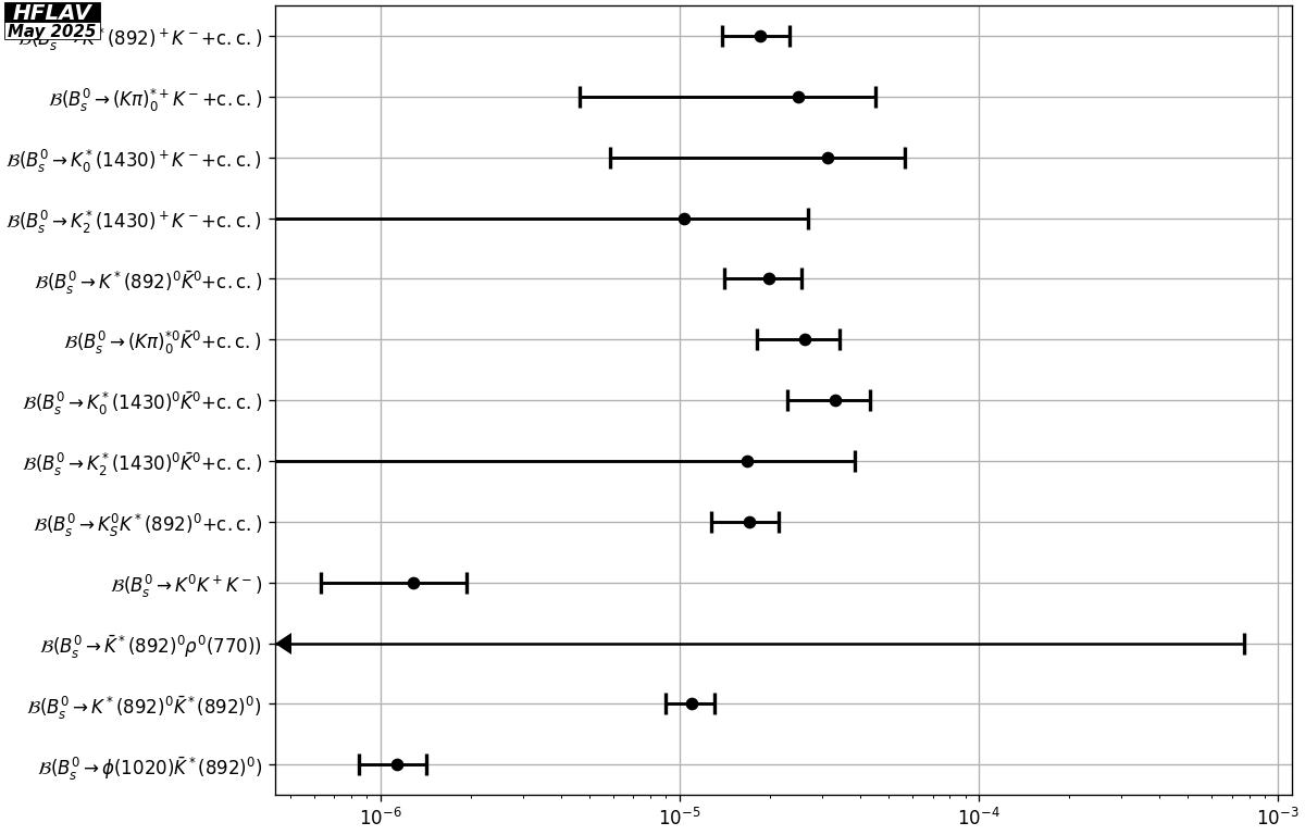
Branching fractions of charmless $B^0_s$ decays (part 2)

Branching fractions of charmless $B^0_s$ decays (part 3)

Branching fractions of charmless $B^0_s$ decays (part 4)

Branching fractions of charmless $B^0_s$ decays (part 5)

Branching fractions of charmless $B^0_s$ decays (part 6)

Relative branching fractions of $B^0_s$ decays (part 1)

Relative branching fractions of $B^0_s$ decays (part 2)

Relative branching fractions of $B^0_s$ decays (part 3)
