Compilation of $C\!P$ Asymmetries for $B^0_s$ mesons and $b$-baryons

$C\!P$ asymmetries of charmless hadronic $B^0_s$ decays


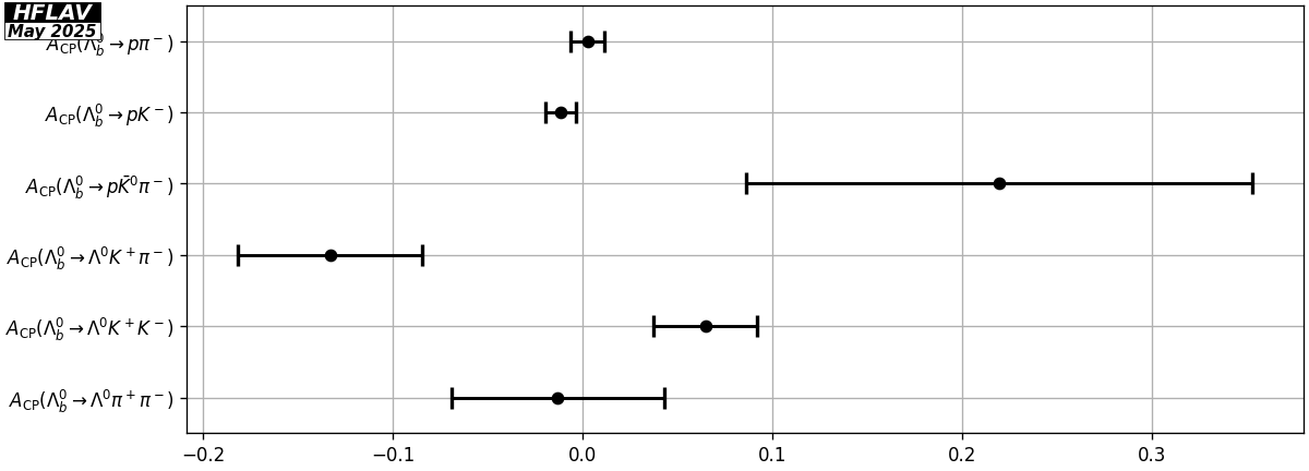
$C\!P$ asymmetries of charmless hadronic $\Lambda^0_b$ decays


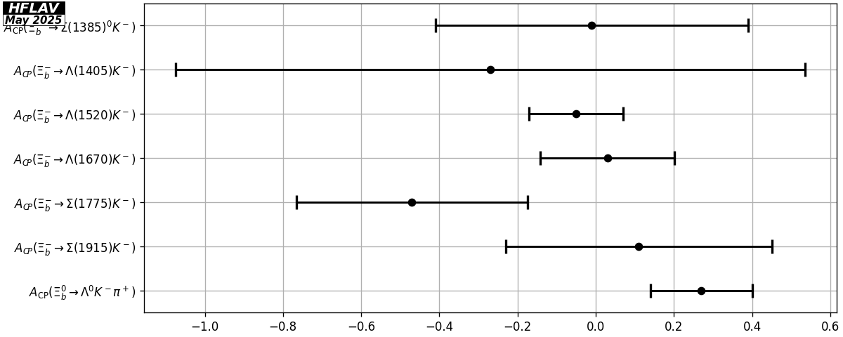
$C\!P$ asymmetries of charmless hadronic $\Xi_b$ decays