$B^+$ decays
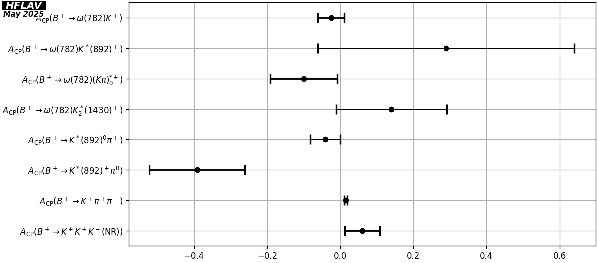
$C\!P$ asymmetries of charmless hadronic $B^+$ decays (part 1)

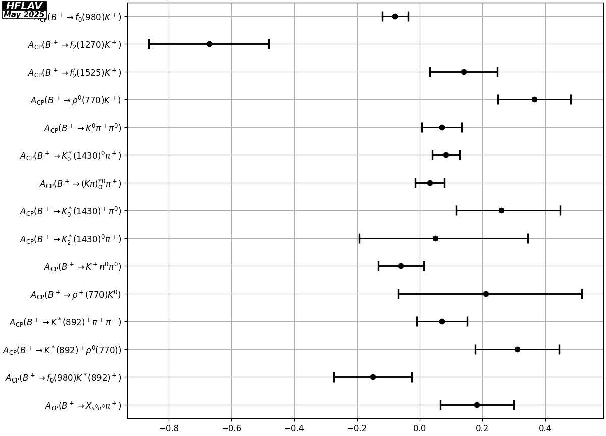
$C\!P$ asymmetries of charmless hadronic $B^+$ decays (part 2)

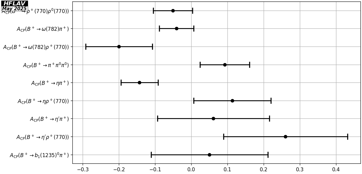
$C\!P$ asymmetries of charmless hadronic $B^+$ decays (part 3)

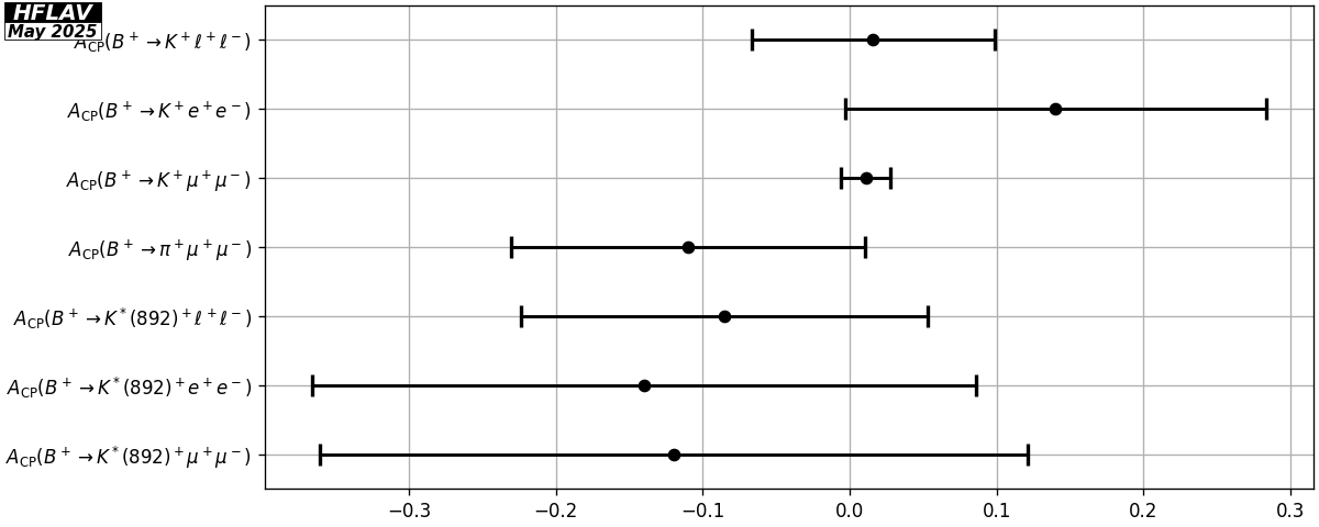
$C\!P$ asymmetries of charmless hadronic $B^+$ decays (part 4)

$C\!P$ asymmetries of charmless hadronic $B^+$ decays (part 5)

$C\!P$ asymmetries of charmless hadronic $B^+$ decays (part 6)

$C\!P$ asymmetries of charmless hadronic $B^+$ decays (part 7)

$C\!P$ asymmetries of charmless hadronic $B^+$ decays (part 8)

$C\!P$ asymmetries of charmless hadronic $B^+$ decays (part 9)

$C\!P$ asymmetries of charmless hadronic $B^+$ decays (part 10)
